
7. Szabadesés
7. Szabadesés (1, 17, 19, 22, 30, 31, 44, 48, 55. 60, 63, 64, 72)
Elmélet
1. A gravitációs gyorsulás jellege
Nagysága a Föld közelében

Irány mindig lefelé (a Föld középpontja felé).
Független a test tömegétől, légellenállástól eltekintve minden testre azonos gyorsulást biztosít.

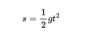
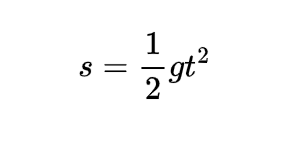
🧮 Szabadesés megtett út képlete
Ha a test álló helyzetből indul, azaz a kezdősebesség v0= 0, akkor:

s: megtett út (méterben)
g: nehézségi gyorsulás
t: eltelt idő (másodpercben)
Ez azt jelenti, hogy a megtett út az idő négyzetével arányos.
7. Szabadesés (1, 17, 19, 20, 22, 30, 31, 44, 48, 55. 60, 63, 64, 72)
Feladatok
Forrás: https://kemfiz.hu/fizika_kozep_kinetika.html
1, 17, 19, 20, 22, 30, 31, 44, 48, 55. 60, 63, 64, 72
1. Függőlegesen feldobunk egy testet. A kezdősebességhez képest mekkora sebességgel érkezik vissza az elhajítás helyére?
A) Ugyanakkora sebességgel.
A test mozgása szimmetrikus: ugyanakkora sebességgel érkezik vissza, mint amivel elindult, csak az irány ellentétes.
11. Egy követ 20 m/s kezdősebességgel feldobunk. Milyen irányú a test gyorsulása két másodperc múlva?
C) A gyorsulás lefelé mutat, mert a gravitációs erő is lefelé hat.
A gravitációs gyorsulás mindig lefelé mutat, függetlenül attól, hogy a test felfelé vagy lefelé mozog.
📘 Adatok:
Kezdősebesség: v0=20 m/s
Idő: t=2 s
Gravitációs gyorsulás:

1️⃣ Sebesség 2 másodperc múlva
A test sebessége a következőképpen változik:

👉 Tehát a test még felfelé halad, de már nagyon lassan.
2️⃣ Magasság 2 másodperc múlva
A megtett út (magasság) a következő képlettel számolható:

👉 A test ekkor 20,38 méter magasan van a dobás helyéhez képest.
3️⃣ Gyorsulás iránya
A gyorsulás a teljes mozgás során:

👉 Tehát lefelé irányul, függetlenül attól, hogy a test még felfelé halad.
17. Két egyforma tömegű testet kötéllel egymáshoz rögzítünk… Mennyi lesz a testek gyorsulása zuhanás közben?

C) Mindkét test g gyorsulással zuhan.
Ha nincs akadályozó erő (pl. kötél feszessége), akkor szabadon esnek, tehát gyorsulásuk g.
19. Egy függőlegesen feldobott kő pályájának tetőpontját elérve visszahullik. Hogyan változik a gyorsulása a tetőpont körül?
A gravitációs gyorsulás állandó, a tetőponton is lefelé hat, csak a sebesség lesz ott pillanatnyilag nulla.
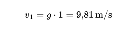
22. Hogyan változik a sebesség a második másodpercben szabadesésnél?
A) Ugyanannyival nő, mint az első másodpercben.
A zuhanó test sebességnövekedése

Ha a test álló helyzetből indul:
v=g⋅t
v: pillanatnyi sebesség (m/s)
g: gravitációs gyorsulás (≈ 9,81 m/s²)
t: eltelt idő (s)
📌 Sebesség a második másodpercben
A második másodpercben azt vizsgáljuk, hogy mennyi sebességnövekedés történik a 1–2. másodperc között:
Sebesség az 1. másodperc végén:

Sebesség a 2. másodperc végén:

Sebességnövekedés a második másodpercben:

26. Mekkora a test sebessége 1 s múlva, ha függőlegesen 6 m/s-mal feldobjuk?
C) Körülbelül 4 m/s.

30. Egy több mint 10 m magasról zuhanó test sebessége hol változik többet: az első vagy a második 5 m-en?
A) Az első öt méteren változik többet a sebessége.


- 10 m után

31. Két kő leejtése esetén (2 kg és 1 kg), hogyan alakul a gyorsulás?
C) A két kő gyorsulása egyenlő.
A légellenállás nélkül mindkét testre csak a gravitáció hat, ami tömegtől függetlenül gg.
44. Egy pontszerű testet h magasságú asztal tetejéről indítunk el… Melyik esetben ér előbb talajt?
C) Egyenlő idő alatt ér talajt a két esetben.
Indoklás: a zuhanás időtartamát csak a függőleges mozgás határozza meg. Mindkét esetben a kezdeti függőleges sebesség nulla, így


mindkét alkalommal azonos.
48. Medicinlabdát függőlegesen feldobunk. Mikor lesz egyszerre nulla a gyorsulása és a sebessége?
D) Nincs ilyen pillanat.
Indoklás: légellenállás nélkül csak a gravitáció hat a labdára, tehát a gyorsulása végig g nagyságú és lefelé mutat, soha nem lesz nulla, még a sebesség nullázódásakor sem.
55. Egy nyílvesszőt ferdén felfelé lövünk ki. Mekkora a gyorsulása pályája tetőpontján?
B) A gyorsulása g.
Indoklás: légellenállás nélkül kizárólag a gravitáció hat lefelé, ezért a gyorsulás minden pillanatban g.
60. Egy rugalmas labda pattog a talajon. Ábrázoltuk a labda v sebességét időfüggvényként. Melyik grafikon jellemzi megfelelően a mozgást?
Indoklás: a sebesség lineárisan változik –g meredekséggel (ütközéskor jelcserével)
63. Egy 1,2 m magasról leejtett test a Földön ≈0,5 s alatt ér talajt. A Holdon a gravitáció a földi érték egyhatoda. Milyen magasról ejtve ér le ugyanennyi idő alatt a Holdon?
A) ≈0,2 m magasról.
Indoklás:
ahol gₘ = g/6 és t = 0,5 s.

Tehát h = (t²·gₘ)/2 ≈ (0,25·(9,81/6))/2 ≈ 0,20 m.
64. Egy labdát függőlegesen feldobunk a levegőbe. Melyik grafikon írja le helyesen a mozgást?
A) Az A) grafikon.

Indoklás: a magasság parabolaívben változik, a sebesség egyenletesen lineárisan csökken –g meredekséggel, a gyorsulás minden pillanatban –g.
72. Hogyan változik a függőlegesen feldobott test gyorsulásának abszolút értéke és iránya a felfelé és lefelé út során?
B) Felfelé és lefelé is azonos a gyorsulás abszolút értéke és az iránya is.
Indoklás: légellenállás nélkül egyetlen erő, a gravitáció hat, ami állandó nagyságú (g) és lefelé mutat.
Készítette: A COPILOT
